
קרינות אלקטרומגנטיות - תדרים נמוכים
תדרים נמוכים
סביב מוליכים נוצרים שדות אלקטרומגנטיים שדרכם זורם זרם חשמלי. חשמל בארצנו מסופק בתדירות של 50 הרץ . בתדר זה שני המרכיבים של השדה האלקטרומגנטי מתנהגים כמעט באופן עצמאי, וכתוצאה מכך השדה אינו מציג בפועל את תכונות הקרינה.
אנו יכולים למדוד תדרים נמוכים ב -50 הרץ ו -60 הרץ
כבלי קו העברה במתח גבוה
מעל פני האדמה או מתחת לאדמה, מערכות מוליכי מתח
תחנות משנה מתח בינוני וגבוה
כניסה / יציאה לפארקים פוטו -וולטאיים
חוות רוח, חיבורים עם PPC במתח גבוה
מטרים שוטפים
שנאים גדולים
תחנות משנה של קווי חשמל
מבני הפחתת מתח בענפים
תחנות כוח
רובוטריקים במסופי בסיסים או בעמודות PPC
מכונות כבדות ושדות מגנטיים בתעשייה
מפעלים ותחנות כוח
רשתות חלוקת מתח בינוני של קווי חשמל

חשמל מועבר ממפעלי ייצור למרכזי צריכה באמצעות קווי מתח גבוה ( 400 KV, 150 KV ו- 66 KV ). המתח של 400 KV מועבר למרכזי המתח הגבוה (HVC), מופחת למתח 150 קילוואט ואז דרך תחנות מתח גבוה במתח 66KV ו 20KV (מתח בינוני) המספק תעשיות ומרכזים עירוניים או פעילויות מקצועיות שונות בהתאמה. המתח הממוצע של 20KV מצטמצם באמצעות תחנות ההפצה למתחים נמוכים 220 וולט או 380 וולט המספק יחידות בנייה גדולות. תחנות חלוקה ממוקמות באוויר בעמודים או במרתפי בניינים גדולים.
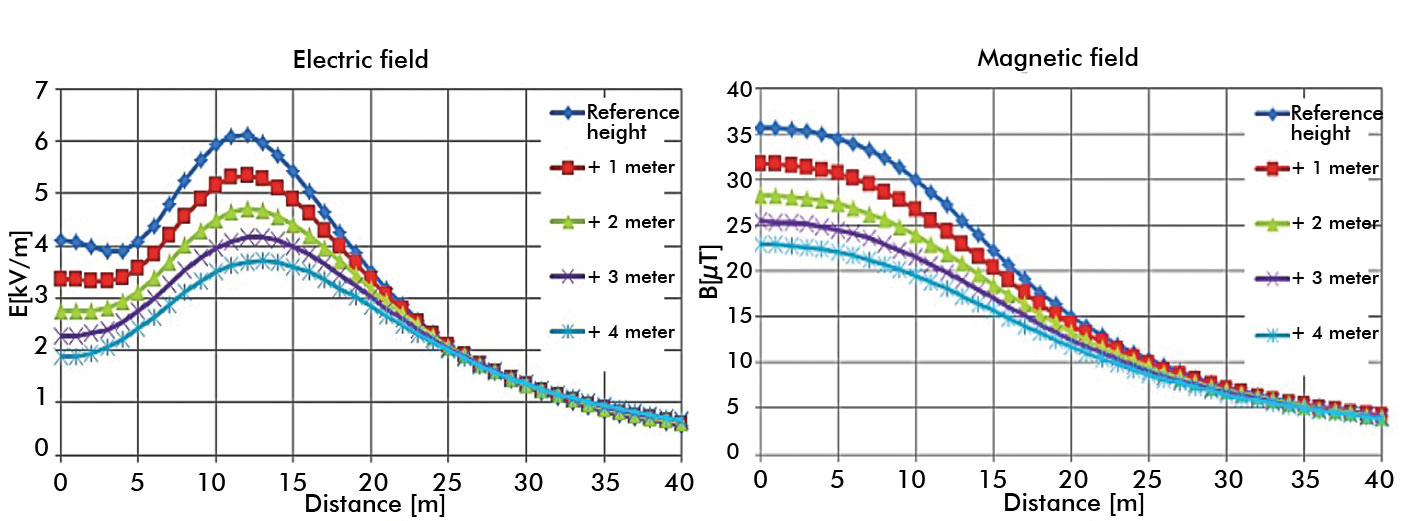
קווי העברת חשמל והפצה יכולים להיות מעל ו תת קרקעי . רק שדות מגנטיים נוצרים במרחב שמסביב מהקווים התת קרקעיים.
קווי תקורה במתח נמוך יוצרים שדות חשמליים קטנים מאוד. השדות המגנטיים מסתכמים בכמה µT ליד המוליכים והם זניחים במרחק של מטרים ספורים. השדות החשמליים והמגנטיים סביב תחנות המשנה נוצרים על ידי הקווים המחוברים אליהם ולא על ידי השנאים ושאר הציוד.
תופעת קורונה: סְבִיב קווי מתח גבוה נוצרים פריקות חשמל (אפקט קורונה), אשר יכולים להפיק רעש ולהמיר מולקולות חמצן לאוזון. כמו כן, ניתן לשמוע באז ליד שנאי תחנה.

פְּגִיעָה
שדות מגנטיים בתדרים נמוכים מאוד גורמים לשדות חשמליים וזרמים בגוף. אם שדות אלה חזקים, זה גורם לגירוי עצבי ושרירי ולשינוי בתפקוד מערכת העצבים המרכזית. חפצי מתכת גדולים בתוך השדה החשמלי יכולים להיות טעונים במתח גבוה למדי, ואם הם לא מקורקעים, לגרום לטלטול מעצבן במגע. נקבעו מגבלות חשיפה לאוכלוסייה כדי למנוע את ההשפעות שלעיל. (INIRC / IRPA 1990)

שדות אלקטרומגנטיים וסרטן
בשנת 1979, מחקר אפידמיולוגי דיווח לראשונה על קשר בין הסיכון לסרטן ילדים לבין מרחק הבתים מקווי החשמל עם זרם חזק. למרות שיש ליקויים רבים במתודולוגיה, מחקרים רבים שתוכננו בקפידה רבה יותר, אשר נערכו אז, מראים מתאם סטטיסטי בין לוקמיה בילדות לבין חשיפה לשדות מגנטיים בתדירות נמוכה (Tenforde, 1996 ו- WHO, 1998).
השפעות בריאותיות אפשריות אחרות, כגון דיכאון, מחשבות אובדניות, הפרעות רבייה והתפתחות, נזק למערכת החיסון וניוון מערכת העצבים, נחקרו לקשר אפשרי לחשיפה לשדות מגנטיים בתדירות נמוכה. ארגון הבריאות העולמי רואה בנתונים לא מספיקים. האינדיקציות לסיבה למחלות לב וכלי דם הן שליליות (WHO, 2007).
מסקנות דומות הושגו בשנת 2007 על ידי SCENIHR (הוועדה המדעית לסיכוני בריאות מתעוררים ומזוהים לאחרונה), שהוקמה על ידי הנציבות האירופית (EC, 2008).
הפרעה אלקטרומגנטית
דווח על השפעה על פעולתם של קוצבים או שתלים חשמליים אחרים מחשיפה לשדות חשמליים הגדולים מ- 2 KV ושדות מגנטיים הגדולים מ- 20 μT. יש מעט מאוד סיכוי לחשוף חולים לשדות בעלי ערכים כאלה. הנושא טופל במעקב רפואי אחר מטופלים שקיבלו השפעה כזו (WHO, 1998). כבר עכשיו, קוצבי לב מודרניים נועדו להיות קלים להפרעות כאלה.
שדות מגנטיים הגדולים מ -1 µT עלולים לגרום להפרעה למסכי מחשב ישנים יותר. שדות אלה נוצרים ליד כבלים המספקים חשמל לבניינים או סביב השנאים של תחנות מתח נמוכות. פיתרון פשוט הוא העברת המחשב (WHO, 1998). למסכי טכנולוגיה חדשים יותר כמו גביש נוזלי או פלזמה אין בעיות כאלה.

מדידה - נהלי הדמיה
- מידות
1 א) מחסומים:
מחסומים מרובים נאמדים עבור נמוכה ס תדרים.
ל איקס בתדרים נמוכים, המדידות יבוצעו במקום, החל מ- רובוטריקים במתח גבוה ומחוללי חשמל.
- מדידות בכל האזור הגיאוגרפי על פי תכניות הרצפה בנקודות מדויקות עם קואורדינטות GPS שנקבעו על המגרש - שטח המדידות.
- מדידות בכל נקודת עניין בקרקע ובגובה מוגדר.
- מעריכים נקודות בקרה מרובות, חלקן עם מעגלים שבמרכזם נקודות הפליטה של השדות האלקטרומגנטיים.
- דגש על ביטחון האזור והצוות (משרדים וכו ').
- מדידות במונים וברשת חלוקת אנרגיה דרך רשת HEDNO.
- מדידות של אזורים רגישים שתציין באזור.

2) הכנת לימוד (רָצוֹן כולל לפחות את הדברים הבאים)
2 א) לכידה של מפת הפליטה האלקטרומגנטית לכל האזורים (שדות חשמליים ומגנטיים)
2 ב) לכידה של המפה האלקטרומגנטית של האנרגיה נָתִיב
2 ג) פרטים
2.1 מדידות
2.2 הקלטה
2.3 הגדרות אזורים
2.4 הגדרה עם קואורדינטות בשרטוט
2.5 אמצעי בטיחות
2.6 שהות צוות מקסימלית באזורים מסוימים
2.7 ניתוח מלא של העובדות
2.8 סטנדרטים בינלאומיים ומחקרים אפידמיולוגיים
2.9 יידוע הצוות על העבודה
בתוך שדות אלקטרומגנטיים אפשריים
2.10 סימון על השטחים בצורה טבעית של שטחים
2.11 הבחנה בין אזורי מפגעי צבע באתר
(כָּחוֹל, צהוב אדום)
מפות נוספות (לא כולל ערכים מוחלטים) יסופק קוד צבע המזהה אזורים החורגים מהמגבלות המותרות כמפורט בהמלצות הבריאות הלאומיות והאירופיות למקומות עבודה לצוותים ואזרחים.
יש להשוות את תוצאות המדידות עם הגבולות הלאומיים שנקבעו וכן עם הגבולות של לפחות שלוש מדינות אירופיות אחרות, עם הבדל משמעותי ביניהן, מבחינת הגבולות שקבעו מדינות אלה.
טיפים למידע לקרינה אלקטרומגנטית:
קרינה אלקטרומגנטית בתדירות נמוכה - השפעות על בריאות האדם
שדות חשמליים ומגנטיים בתדירות נמוכה
הפעלת תחנות משנה וקווי חשמל ליד בתי ספר ובתי חולים (TEE - הלשכה הטכנית של יוון)
